Patient-Derived Tumor Growth Modeling from Multiparametric Analysis of Combined Dynamic PET/MR Data
(FNRS FRIA (No 29593726))
Description:
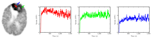
Developing and validating a mathematical tumor growth model driven by patient-specific simultaneous Positron Emission Tomography (PET) and Magnetic Resonance Imaging (MRI) data to improve surgery and radiotherapy planning, especially for two types of tumors: gliomas, and hepatocellular carcinoma (HCC). This research is carried out in close collaboration with the Department of nuclear medicine, Erasme Hospital.

Responsibles:
- DEBEIR Olivier
- GOLDMAN Serge (Erasme)
Members:
- MARTENS Corentin
Support from:
- FRIA